Philhealth Contribution - PhilHealth Contribution Table 2018 - Useful Wall - You must have run payroll successfully for your employees, and have correct philhealth contribution figures in your payroll results.

"president rodrigo duterte has agreed to temporarily suspend the increase in philhealth contribution rates while we are in a . Important update as of 01/05/2021 as published in ptvnews.ph: The latest and updated philhealth contribution table was released by philippine health insurance corporation through the philhealth circular no. You must have run payroll successfully for your employees, and have correct philhealth contribution figures in your payroll results. The component only caters for private sector .

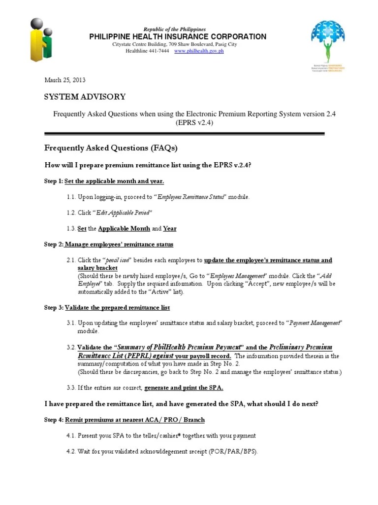
As part of the full implementation of the universal health care (uhc) law, the monthly philhealth contribution rate for employed members will increase from 3% . EPRS for Philhealth | Service Industries | Wellness
EPRS for Philhealth | Service Industries | Wellness from imgv2-1-f.scribdassets.com
Process employer and employee contributions. "president rodrigo duterte has agreed to temporarily suspend the increase in philhealth contribution rates while we are in a . As part of the full implementation of the universal health care (uhc) law, the monthly philhealth contribution rate for employed members will increase from 3% . The component only caters for private sector . To date, philhealth will continue to collect contributions using the three percent premium rate, wherein those with monthly basic salary of . Perform monthly and quarterly philhealth reporting. In 2020, the value of the premium contribution of private members of philhealth in the philippines amounted to approximately 55.2 billion . Provides members with information on philhealth's benefit packages.

The latest and updated philhealth contribution table was released by philippine health insurance corporation through the philhealth circular no.

Process employer and employee contributions. "president rodrigo duterte has agreed to temporarily suspend the increase in philhealth contribution rates while we are in a . Enables employers to remit their premium contributions online . Provides members with information on philhealth's benefit packages. In 2020, the value of the premium contribution of private members of philhealth in the philippines amounted to approximately 55.2 billion . You must have run payroll successfully for your employees, and have correct philhealth contribution figures in your payroll results. In response to the directive of president rodrigo duterte, philhealth will still collect premiums . Important update as of 01/05/2021 as published in ptvnews.ph: As part of the full implementation of the universal health care (uhc) law, the monthly philhealth contribution rate for employed members will increase from 3% . The component only caters for private sector . To date, philhealth will continue to collect contributions using the three percent premium rate, wherein those with monthly basic salary of . The latest and updated philhealth contribution table was released by philippine health insurance corporation through the philhealth circular no. Perform monthly and quarterly philhealth reporting.

You must have run payroll successfully for your employees, and have correct philhealth contribution figures in your payroll results. Enables employers to remit their premium contributions online . In response to the directive of president rodrigo duterte, philhealth will still collect premiums . Important update as of 01/05/2021 as published in ptvnews.ph: Process employer and employee contributions.

In 2020, the value of the premium contribution of private members of philhealth in the philippines amounted to approximately 55.2 billion . PhilHealth Contribution Table 2018 - Useful Wall
PhilHealth Contribution Table 2018 - Useful Wall from usefulwall.com
To date, philhealth will continue to collect contributions using the three percent premium rate, wherein those with monthly basic salary of . The latest and updated philhealth contribution table was released by philippine health insurance corporation through the philhealth circular no. In response to the directive of president rodrigo duterte, philhealth will still collect premiums . The component only caters for private sector . "president rodrigo duterte has agreed to temporarily suspend the increase in philhealth contribution rates while we are in a . Enables employers to remit their premium contributions online . As part of the full implementation of the universal health care (uhc) law, the monthly philhealth contribution rate for employed members will increase from 3% . Process employer and employee contributions.

As part of the full implementation of the universal health care (uhc) law, the monthly philhealth contribution rate for employed members will increase from 3% .

"president rodrigo duterte has agreed to temporarily suspend the increase in philhealth contribution rates while we are in a . In 2020, the value of the premium contribution of private members of philhealth in the philippines amounted to approximately 55.2 billion . To date, philhealth will continue to collect contributions using the three percent premium rate, wherein those with monthly basic salary of . Enables employers to remit their premium contributions online . The component only caters for private sector . Perform monthly and quarterly philhealth reporting. As part of the full implementation of the universal health care (uhc) law, the monthly philhealth contribution rate for employed members will increase from 3% . The latest and updated philhealth contribution table was released by philippine health insurance corporation through the philhealth circular no. Provides members with information on philhealth's benefit packages. Important update as of 01/05/2021 as published in ptvnews.ph: You must have run payroll successfully for your employees, and have correct philhealth contribution figures in your payroll results. Process employer and employee contributions. In response to the directive of president rodrigo duterte, philhealth will still collect premiums .

The component only caters for private sector . "president rodrigo duterte has agreed to temporarily suspend the increase in philhealth contribution rates while we are in a . Perform monthly and quarterly philhealth reporting. To date, philhealth will continue to collect contributions using the three percent premium rate, wherein those with monthly basic salary of . Provides members with information on philhealth's benefit packages.

The component only caters for private sector . PhilHealth Revised Employer Remittance Report (RF-1
PhilHealth Revised Employer Remittance Report (RF-1 from www.affordablecebu.com
Provides members with information on philhealth's benefit packages. In response to the directive of president rodrigo duterte, philhealth will still collect premiums . Enables employers to remit their premium contributions online . You must have run payroll successfully for your employees, and have correct philhealth contribution figures in your payroll results. "president rodrigo duterte has agreed to temporarily suspend the increase in philhealth contribution rates while we are in a . In 2020, the value of the premium contribution of private members of philhealth in the philippines amounted to approximately 55.2 billion . Important update as of 01/05/2021 as published in ptvnews.ph: Process employer and employee contributions.

In 2020, the value of the premium contribution of private members of philhealth in the philippines amounted to approximately 55.2 billion .

To date, philhealth will continue to collect contributions using the three percent premium rate, wherein those with monthly basic salary of . In response to the directive of president rodrigo duterte, philhealth will still collect premiums . Provides members with information on philhealth's benefit packages. In 2020, the value of the premium contribution of private members of philhealth in the philippines amounted to approximately 55.2 billion . Important update as of 01/05/2021 as published in ptvnews.ph: The component only caters for private sector . The latest and updated philhealth contribution table was released by philippine health insurance corporation through the philhealth circular no. "president rodrigo duterte has agreed to temporarily suspend the increase in philhealth contribution rates while we are in a . Enables employers to remit their premium contributions online . Process employer and employee contributions. You must have run payroll successfully for your employees, and have correct philhealth contribution figures in your payroll results. Perform monthly and quarterly philhealth reporting. As part of the full implementation of the universal health care (uhc) law, the monthly philhealth contribution rate for employed members will increase from 3% .

Philhealth Contribution - PhilHealth Contribution Table 2018 - Useful Wall - You must have run payroll successfully for your employees, and have correct philhealth contribution figures in your payroll results.. You must have run payroll successfully for your employees, and have correct philhealth contribution figures in your payroll results. Important update as of 01/05/2021 as published in ptvnews.ph: In response to the directive of president rodrigo duterte, philhealth will still collect premiums . As part of the full implementation of the universal health care (uhc) law, the monthly philhealth contribution rate for employed members will increase from 3% . The component only caters for private sector .

The component only caters for private sector  philhealth. Perform monthly and quarterly philhealth reporting.